顏料生產企業的生產廢水多含鉛、鉻重金屬等有毒物質,一直沒有得到妥善處理和回收利用,這樣既造成了資源浪費,又污染了環境。因此,筆者對顏料廢水治理關注的重點不僅僅是解毒、達標排放問題,而是資源的回收利用,防止一切可能的污染發生,達到經濟效益、環境效益和社會效益的和諧統一。
某化工廠在2005年試生產期問采用了環境影響評價中推薦的【污水處理設備】“硫酸亞鐵還原法”治理鉛、鉻廢水,運行一段時間后卻產生了不經濟、操作性差的實際問題而沒有連續使用,2006年該廠技術人員采用鉛鉻黃生產工藝對鉛、鉻廢水進行回收治理,不僅治理了重金屬污染,同時把鉛、鉻回收制成了低檔顏料出售,取得了良好的經濟效益和社會效益。
治理工藝原理污水
采用硫酸亞鐵還原廢水中的6價鉻,并用石灰中和,形成難溶于水的氫氧化鉻。利用硫酸亞鐵在酸性條件下,將6價鉻還原成3價鉻,在一定溫度和堿度條件下,產生氧化鐵和氧化鉻共沉淀,利用壓濾機對廢渣進行分離,達到廢水治理的目的。硫酸亞鐵法治理工藝流程見圖1。
工藝流程
廢水進入預混池,在預混池中加入硫酸亞鐵,Fe2+還原Cr6+形成Cr3+,經過反應后,在廢水中加入石灰石,形成Cr(OH)3、Fe(OH)3、Pb(OH)2沉淀。其中Fe(OH)3形成膠體,吸附水中的陽離子,形成沉淀。經過沉淀池沉淀后排放廢水。
技術經濟評價
效果穩定可靠,排放水Cr6+≤0.5mg/L,總鉛≤1.0mg/L,總鉻≤1.5ms/L;對于各種不同濃度的含鉻廢水均適應;裝置及工藝較簡單,對水質無特殊要求不需預處理;采用空氣攪拌可使沉淀轉變為鐵氧體結構,易于過濾分離。
問題分析
該工藝比較終產生大量含Cr6+、Pb2+的污泥產生量約0.5t/年,其主要成分為Pb(OH)2、Cr(OH)3和Fe(OH)3,都屬于危險廢物,不可做焚燒處理,只能做安全填埋。因此,這種處理方法對某些企業來講可操作性不高,經濟性差,若處理不當,容易產生二次污染。
廢水處理改進工藝的分析
鑒于上述廢水處理中的實際問題,該公司進行廢水治理工藝改造,采用Al2(SO4)3硝酸、燒堿和硝酸鉛溶液等鉛鉻黃生產原輔材料作為藥劑來治理污水中的總鉛、總鉻和Cr6+超標問題。
1 廢水處理工藝
原理與鉛鉻黃生產工藝基本相同,針對鉛或鉻過量問題分別加入碳酸鈉或硫酸鋁溶液,使鉛離子轉化成硫酸鉛沉淀,鉻離子生成鉻酸鉛沉淀。分離后得到的硫酸鉛和鉻酸鉛混合物作為鉛鉻黃低等顏料出售。不僅治理了廢水污染,還實現了固廢零排放。
2 污水治理設備見表1。
3 廢水治理工藝流程
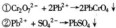
鉛鉻黃生產廢水經管道收集一并送到污水收集罐,先由清水泵把廢水抽到800型箱式壓濾機進行過濾,然后由試管滴定查驗廢水的pH值,通過加入硝酸或片堿以調節廢水pH值為7左右,再根據水中鉛離子或鉻離子超標情況分別添加硝酸鉛或硫酸鋁溶液使鉛離子或鉻離子形成沉淀析出。為了去除污水中多余的鉛離子,需加入一定量的Al2(SO4)3溶液,使得鉛離子轉化為PbSO4沉淀;若去除過量鉻離子可加入硝酸鉛溶液,反應生成鉻酸鉛。主要反應式為:
廢水經沉淀后再經清水泵抽到1000型箱式壓濾機進行第2次過濾。過濾后廢水收集到排放池,此時水池的水質基本可達標排放;如果檢測還達不到標準要求,在排放池底部設有自吸泵可以把不合格水再抽到廢水收集罐進行再次治理,比較終使污水達標排放(圖2)。
硫酸鉛和鉻酸鉛經過濾析出后,分散包膜、壓濾、烘干等工序處理可制得低等顏料作為副產品出售,這樣廢水治理,既保護環境又帶來了經濟效益,一舉兩得。
4 治理工藝技術可行性分析
由該公司技術員提供的污水治理資料可知,鉛鉻黃車間廢水包括兩部分:①鉛鉻黃沖洗廢水水量為31.5m3/d;②沖洗地面水和車間洗手水5.0m3/d,共計36.5m3/d;污水中鉛過量機會較多,約占污水總量的70%,鉻過量機會占30%。
由于該污水處理裝置采用無機反應去除金屬離子,因此,出水中金屬離子的濃度只受到生成物溶解度的影響,與進水水質無關。硫酸鉛、鉻酸鉛在水中不同溫度下的溶解度見表2。
(1)鉛過量情況。污水中總鉛濃度為1.500mg/L,總鉛量為16.970kg/年,和硫酸鋁反應生成硫酸鉛24.840kg/年。硫酸鉛在40℃下的溶解度比較大,取值為0.056kg,由此可計算出廢水中的總鉛濃度為0.018mg/L,遠遠小于《污水綜合排放標準)(GB8978.1996)第1類污染物比較高允許排放濃度表1中的限值,因此,污水中總鉛污染的治理能夠達標。
(2)鉻過量情況。污水中總鉻濃度為2.100mg/L,Cr6+濃度為0.600mg/L,由此計算出污水中總鉻量為23.760kg/年,Cr6+為6.790kg/年,和硝酸鉛反應可生成鉻酸鉛21.960k年。鉻酸鉛在20℃下的溶解度為0.070kg,其他溫度下不溶解,由此可計算得出20℃下廢水中鉻濃度為4.160×10-8mg/L。可見,加入硝酸鉛可以使溶液中的Cr6+幾乎沉淀完全。因此污水中Cr6+濃度也符合《污水綜合排放標(GB897~1996)第i類污染物比較高允許排放濃度6價鉻0.500mg/L、總鉻1.500mg/L的限值要求。
5 污水治理實際效果
2007年1月某環境監測站對該企業污水處理站排水口進行了水質監測,監測項目為6價鉻、pH、總鉻和CODCr4項,具體監測數據及評價結果見表3。

對污水監測水質采用單因子污染指數法進行評價,結果見表3。由表3可以看出,該企業污水治理后6價鉻0.361mg/L、pH值6.24、總鉻0.963mg/L和CODCr67.200mg/L,各體系尚未形成。21世紀經濟發展的主旋律是綠色經濟,綠色產品、綠色生產、綠色消費、綠色市場、綠色產業是綠色經濟的重要特征,也是生態環境可持續發展對經濟生活的具體要求。通過綠色經濟意識的強化,以期進一步完善西田各莊鎮產業一體化綠色營銷體系。
本文版權歸北京中天恒遠環保設備有限公司所有,主要從事污水處理設備、水處理設備生產及污水處理技術專項工作等,轉載請注明http://www.91tbw.cn出處。





