1 引言(Introduction)
染料廢水被認為是極難處理的污染物之一,紡織、造紙、印刷、食品和化妝品都會有染料污染物的排放.染料廢水因有機物含量高、毒性大、難降解等,會導致許多疾病,如癌癥、貧血和呼吸障礙等.目前,染料的處理方法有電化學法、光催化法、生物氧化法以及吸附法等.吸附法因不會引入新的污染物、能耗低而倍受關注,其中磁分離吸附法優點更加突出,在繼承吸附法的優點的同時易于分離,快速去除污染物.
多巴胺是一種動物體內神經傳導的遞質,也是一種激素.海洋貝類的黏附蛋白的主要成分就是多巴胺.在弱堿性溶液條件下,多巴胺暴露在空氣中就會很快地自聚并被氧化成粉紅色的聚合多巴胺,比較終會聚沉為帶有芳香結構和兒茶酚的團體,這個過程是完全自發的,并且其可以聚合在多種基質表面.聚合多巴胺(PDA)具有良好的親水性、生物相容性和穩定性,可以保護載體粒子.包覆以后不僅保留了載體的性質,而且可以豐富載體性質,在許多領域得到了應用.如利用多巴胺包覆碳納米管,并且用來沉積金納米顆粒和用二氧化硅和多巴胺包覆在磁性納米材料上,應用于生物分離方面.然而,PDA包覆層不穩定,容易從基質上脫附下來.如果將材料在隔絕空氣的條件下高溫加熱,可以將PDA碳化,得到具有穩定的碳包覆層的新型吸附材料.
本研究采用聚合多巴胺包覆磁性氧化鐵,然后在高溫下碳化制備碳材料包覆的氧化鐵(Fe3O4@C).以甲基綠為目標物,研究該材料的吸附性能.
2 實驗部分(Experimental section)2.1 實驗試劑
本實驗所用試劑均為分析純.FeCl3·6H2O和甲基綠購于天津市大茂化學試劑廠(中國,天津).三羥基氨基甲烷(Tris)購于成都化學試劑廠(中國,四川).乙二醇和乙醇購于煙臺三和化學試劑有限公司(中國,煙臺).
2.2 材料制備
Fe3O4納米顆粒依照文獻制備.取FeCl3·6H2O 2.7 g,NaAc 7.2 g,聚乙二醇2.0 g,溶于80 mL乙二醇中,攪拌至澄清,然后轉移到聚四氟乙烯內襯的高壓反應釜中200 ℃下反應24 h后取出,用乙醇清洗兩次,蒸餾水洗3次,用磁鐵分離,烘干.取200 mg Fe3O4納米顆粒,240 mg Tris,240 mg 多巴胺,加200 mL純水在冰水浴下混合,超聲10 min后,室溫攪拌24 h.反應完畢后,用純水洗滌5次,磁分離后烘干.干燥后在管式爐中氬氣保護下600 ℃灼燒4 h,在升溫過程中控制升溫速率為1 ℃·min-1,比較終得到Fe3O4@C.聚合多巴胺炭材料(C)的制備除在溶液中不加入Fe3O4納米顆粒外,其它步驟與Fe3O4@C的制備類似.
2.3 材料表征
利用透射電鏡(TEM,H-7500,Hitachi,Japan)和掃描電鏡(SEM,SUPPATM55,Zeiss,Germany)觀察制得的吸附材料的形貌和粒徑,吸附材料的磁性能采用振動磁強計(VSM,LDJ9600)測得.采用傅立葉變換紅外光譜儀(FT-IR NEXUS 670 Madison,WI,USA)分析表面基團.材料的晶體結構采用X射線衍射分析儀(Rigaku D/max2500 VPC,日本理學)測定.為表征炭材料的結構,采用激光共聚焦拉曼光譜儀(Lab RAM HR800,法國Horiba Jobin Yvon公司)對樣品進行分析,所用激光波長為530 nm.材料的比表面積及孔隙特性采用比表面積及孔隙度分析儀(ASAP2020,美國麥克公司)測定.
2.4 吸附試驗
吸附試驗用100 mL聚乙烯瓶,裝25 mL溶液.吸附劑的濃度為0.20 g·L-1,甲基綠濃度從20~140 mg·L-1來做等溫吸附實驗,選擇純水、取自校園的湖水和實驗室的自來水作為介質考察不同水樣的吸附容量.pH調節從3.0~10.0來研究酸度對甲基綠吸附的影響.混合懸浮液在30 ℃恒溫水浴震蕩,在不同間隔的時間段內取樣來測定甲基綠的吸附動力學.熱力學實驗選擇吸附溫度為20、30和40 ℃.各吸附到時間后,將溶液放在磁鐵上進行分離5 min,然后取上層清液用紫外分光光度計(UV-2550,Shimadzu)來測定甲基綠的濃度.各吸附實驗平行進行3次,文中報道數據為3次平均值.
3 結果與討論(Results and discussion)3.1 材料表征結果
圖 1a為Fe3O4掃描電鏡圖,可以看到Fe3O4球形分散均勻,直徑約為160~300 nm,但其表面看起來粗糙,裂縫寬.圖 1b為Fe3O4@C材料,表面光滑裂縫變細致均勻,直徑也增大到約為330~390 nm.透射電鏡圖 1c顯示出Fe3O4為單分散的球形納米顆粒,粒徑均勻,約為200 nm.圖 1d Fe3O4@C材料圖中可以看出,內部黑色的顆粒為Fe3O4納米顆粒,外層灰色的部分是包覆聚合多巴胺灼燒后的碳,厚約50 nm,粒徑均勻,輪廓清晰.掃描電鏡和透射電鏡圖都證明了Fe3O4被完全包覆到了碳殼層里.比表面積及孔隙度分析儀測得Fe3O4@C材料的BET比表面積為98.83 m2·g-1,孔體積為0.064 cm3·g-1,平均孔徑為25.9 nm,Fe3O4@C材料上的孔隙以介孔為主,這些介孔結構使得材料具有比較高的比表面積和孔體積,有利于提高其吸附性能,從掃描電鏡圖上也可以清晰的觀察到表面包覆的炭材料的孔隙.

圖 1 Fe3O4和Fe3O4@C的掃描電鏡(a,b)和透射電鏡(c,d)圖
圖 2給出了Fe3O4、Fe3O4@C的磁滯回線.Fe3O4沒有磁滯現象,矯頑磁性和剩磁基本為零,表現出順磁性的特性,而Fe3O4@C出現了明顯的磁滯現象,剩磁為7.86,矯頑力為251,顯示出少量鐵磁性,這可能是由于在聚合多巴胺炭化的過程中部分Fe3O4在高溫條件下相變為Fe2O3.Fe3O4和Fe3O4@C的比較大飽和磁強度分別為78.7 emu·g-1和47.2 emu·g-1.Fe3O4@C磁性降低是因為引入了無磁性的殼層.材料吸附了污染物后,利用磁鐵很容易從溶液中分離出來.

圖 2材料的磁滯回線
圖 3給出了Fe3O4、聚多巴胺包覆的Fe3O4@PDA、Fe3O4@C的X射線衍射圖.Fe3O4和Fe3O4@PDA衍射峰的位置完全一樣,在2θ為30.12°、35.38°、43.05°、53.39°、56.91°、62.54°處出現了較強的衍射峰,其分別對應立方相Fe3O4的(220)、(311)、(400)、(422)、(511)、(440)晶面(張燚等,2011;危晶等,2012;黃保軍等,2012),經過在高溫下炭化得到的Fe3O4@C除在以上位置有衍射峰外,在2θ為33.17°和49.33°處有較小的衍射峰,對應著斜六方Fe2O3的(104)和(024)晶面,這說明在炭化的過程中部分Fe3O4相變為Fe2O3,與磁性測量的結果一致.

圖 3材料的X射線衍射曲線

圖 4 Fe3O4,Fe3O4@C和C的紅外光譜圖
圖 4是Fe3O4、Fe3O4@C和C的紅外光譜圖,圖中均在3440.98 cm-1和1638.86 cm-1處出現吸收峰,分別為材料表面吸附水的O—H的伸縮振動峰和彎曲振動峰(王雪等,2013),炭化后的材料在3440.98 cm-1處的峰強度明顯降低,這是由于材料炭化后疏水性增強,表面吸附水減少造成的.Fe3O4和Fe3O4@C的譜圖在584.89 cm-1出現的吸收峰是Fe—O的伸縮振動峰,并且包覆了C材料后,Fe—O的峰明顯減小.在Fe3O4的譜圖中2844.59、2926.20 cm-1出現的小峰為—CH2或—CH3的C—H的特征振動峰(Wang et al,2008),這些C—H的特征峰可能是由于溶劑熱法制備Fe3O4顆粒過程中有機溶劑引入的.聚合多巴胺炭化后的材料紅外譜圖除去沒有Fe—O的伸縮振動峰外,基本跟Fe3O4@C的譜圖類似,這表明了炭材料被包覆到Fe3O4上.
圖 5為Fe3O4@C的拉曼光譜圖,圖譜中出現在波數為1350 cm-1附近的峰稱為D峰,D峰反映炭原子晶體的缺陷程度,是石墨晶格缺陷、邊緣無序排列和低對稱碳結構所引起的,代表炭材料中亂層結構,是無序碳對應的特征峰,其強度表征材料中sp2碳組成的六角網平面以及非石墨化邊界數量,即無序化度,位于波數為1580 cm-1附近的峰為G峰,是由石墨晶體的面內振動產生,和材料的石墨化程度有關,是用來表征石墨的峰(王定美等,2013;周慧龍等,2014;李偉等,2014).D峰和G峰的出現表明炭材料成功的包覆到Fe3O4上,G峰強度強于D峰說明在高溫炭化的過程中部分炭材料被石墨化.

圖 5 Fe3O4@C的拉曼光譜
3.2 溶液pH值對吸附的影響
溶液的pH對吸附劑的結合位點以及電離影響很大,因此研究不同pH下吸附劑對甲基綠的吸附.如圖 6所示,在低pH下甲基綠的吸附量很小,隨著pH增加,吸附量也增加,到pH為8的時候吸附量基本趨于不變.在低pH下,吸附劑表面質子化,帶上正電荷,而甲基綠在溶液中以陽離子的形式存在,二者之間的靜電斥力導致不能有效的吸附.pH增大后,Fe3O4@C表面脫質子帶負電,在靜電作用下,二者有利于相互接觸并進一步吸附.所以Fe3O4@C對甲基綠的后續吸附實驗設定在中性和弱堿性條件下進行.

圖 6溶液pH對Fe3O4@C吸附甲基綠的影響
3.3 吸附等溫線
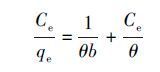
等溫吸附研究在30 ℃下進行,甲基綠初始濃度設置為20、40、60、80、100、120、140 mg·L-1,為考察吸附劑對不同水樣中甲基綠的吸附效果,選擇純水、湖水和自來水作為介質,吸附數據如圖 7a.隨著各水樣中甲基綠濃度的上升,吸附容量在開始時急劇上升,隨后就趨于平緩,說明吸附達到了飽和.采用朗格繆爾和弗倫德里希兩種模型對吸附數據進行擬合,兩種模型線性方程如(1)、(2)所示.

(1)

(2)
式中,qe和Ce 分別為平衡吸附容量(mg·g-1)和平衡濃度(mg·L-1);θ為比較大吸附容量,b為平衡吸附常數.比較大吸附容量θ可以通過Ce /qe對Ce斜率的線形 圖計算.KF(mL1/n μg1-1/n)和n是Freundlich常數.n和KF的值是通過logqe對logCe的線性擬合的截距求出.圖 7b是吸附數據的Langmuir線性擬合.

圖 7 Fe3O4@C對甲基綠的吸附等溫線(a)和Langmuir線性擬合(b)
表 1是兩種模型的擬合參數.對同一水樣,Langmuir模型擬合的相關系數(R2)要高于Freundlich模型,吸附數據和Langmuir模型相符合,說明Fe3O4@C對甲基綠的吸附是一種單分子層吸附.使用Langmuir吸附等溫線計算出Fe3O4@C對純水、湖水和自來水中甲基綠的比較大吸附容量分別為490.1、442.5和389.1 mg·g-1.和純水相比,湖水和自來水的吸附容量有所降低,這可能是由于其中含有的干擾離子造成的,但仍然保持了相當高的吸附容量.表 2列出了文獻中報道的吸附劑對甲基綠的吸附容量,可以看出,除還原石墨烯吸附容量較高外,本研究制備的Fe3O4@C的吸附容量優于其他吸附劑,并且該吸附劑具有利用磁鐵易于實現固液分離的優點,說明該吸附劑在處理染料污染物方面有較大的潛力.

表 1 甲基綠在Fe3O4@C上吸附的Langmuir和Freundlich模型擬合參數

表 2 文獻報道的其他吸附劑對甲基綠的吸附容量
3.4 吸附動力學
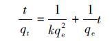
甲基綠的吸附動力學見圖 8a,甲基綠的吸附量隨時間的增加快速上升,到一定時間后趨于平緩,吸附時間達到200 min后,吸附容量基本不隨時間延長而增加,說明已經達到吸附平衡.用擬二級動力學模型描述Fe3O4@C對甲基綠的吸附,線性方程如式(3)、(4)所示.

圖 8甲基綠在Fe3O4@C上(a)吸附量隨時間的變化及(b)擬二級動力學擬合曲線

(3)
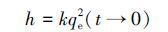
式中,k是吸附速率常數(g·mg-1·min-1),qt是任意時刻甲基綠的吸附量(mg·g-1),qe是平衡吸附量.起始吸附速率h(mg·g-1·min-1)可以用以下方程式描述:
(4)
吸附擬二級動力學擬合如圖 8b所示,線性良好,可決系數R2在0.999以上.k和h可以通過實驗數據,t/qt對t作圖的直線斜率和截距確定.吸附數據線性擬合的可決系數R2大于0.998,符合擬二級動力學模型.由圖中斜率和截距所推算出的速率常數k和起始吸附速率h列于表 3.

表 3 Fe3O4@C對甲基綠的吸附擬二級動力學數據
3.5 吸附熱力學研究
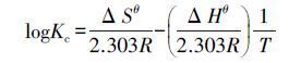
甲基綠的初始濃度設定為100 mg·L-1,吸附劑的濃度為0.2 g·L-1,改變吸附溫度為20、30和40 ℃,吸附時間設定為6 h使其達到充分平衡,測定上清液中剩余甲基綠的濃度Ce,計算吸附容量qe,不同溫度下的吸附數據如表 4所示.熱力學參數參照文獻(Biswas et al,2007)的熱力學方程進行計算:
(5)
(6)
合并公式(5)和(6),得公式(7):

(7)
式(7)中,Kc為溫度T下的平衡常數,可以通過Kc=qe/Ce計算,qe為平衡吸附容量,Ce為溶液中吸附質的平衡濃度,ΔGθ、ΔHθ和ΔSθ分別為標準狀態下吸附反應的吉布斯自由能變、焓變和熵變.公式(7)也可以表示為:

(8)
設定ΔHθ和ΔSθ在研究的溫度范圍內為常數,則在公式(8)中,以(qe/Ce)對(1/T)進行線性擬合,由斜率和截距可以求得ΔHθ和ΔSθ,則不同溫度下的ΔGθ可由公式(5)求得,各熱力學參數見表 4.

表 4 不同溫度下的平衡濃度、吸附容量及熱力學參數表
由表 4的熱力學參數值可以看出,ΔGθ小于零,說明吸附是一個自發的過程,并且隨溫度升高ΔGθ減小,說明溫度越高,自發性越強;ΔHθ是大于零的數,說明該吸附是吸熱過程;ΔSθ大于零說明該吸附是一個熵增加的過程.具體參見污水寶商城資料或http://www.dowater.com更多相關技術文檔。
4 結論(Conclusions)
采用水熱合成法制備Fe3O4納米粒子,包覆一層聚合多巴胺,然后碳化制備Fe3O4@C復合材料,將其作為吸附材料來去除甲基綠染料.在溶液pH為中性和弱堿性條件下材料對甲基綠具有較好的吸附效果.吸附動力學數據和吸附等溫數據分別符合擬二級動力學模型和朗格繆爾等溫吸附模型,具有較高的吸附容量.Fe3O4@C復合材料具有碳材料穩定的化學性質和優良的吸附性能,能利用磁場實現快速分離,在環境化學、分析化學以及生物化學等領域具有一定的應用潛力.
中天恒遠廠家直銷!優惠的價格!周到的服務!
水處理產品咨詢熱線:010-8022-5898 186-1009-4262





